


Polymer Additives
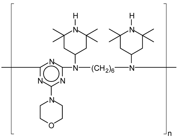
UV-646 is a hindered amine light stabilizer (HALS). It functions by capturing free radicals and inhibiting photo-oxidation reactions, thereby protecting materials from damage caused by ultraviolet radiation.
[Molecular weight average] 1600 ± 10%
Appearance: White to yellowish solid
Loss on Drying: 0.8% max
Solubility in Toluene: OK
TGA (340°C) : 10 max
Recommended for PE/PP film, tape, injection & rotational molding, POM, PA,PET, PBT, ASA, ABS, HIPS, PMMA and PUR.
1.UV-646 is a oligomeric HALS characterized by its low color contribution.
2.Exceptional in long-term anti-aging performance and suitable for all polyolefin applications.
3. Excellent compatibility with other HALS and UVAs
4. Good solubility/migration balance
5. FDA approved for use in food contact application